网站首页
残联概况
新闻中心
信息公开
服务指南
事业统计
政策法规
机关党建
专门协会
专题专栏
互动交流
今天是:
新闻中心
专题专栏
您所在的位置:
主页
>
新闻中心
>
公告通知
公告通知
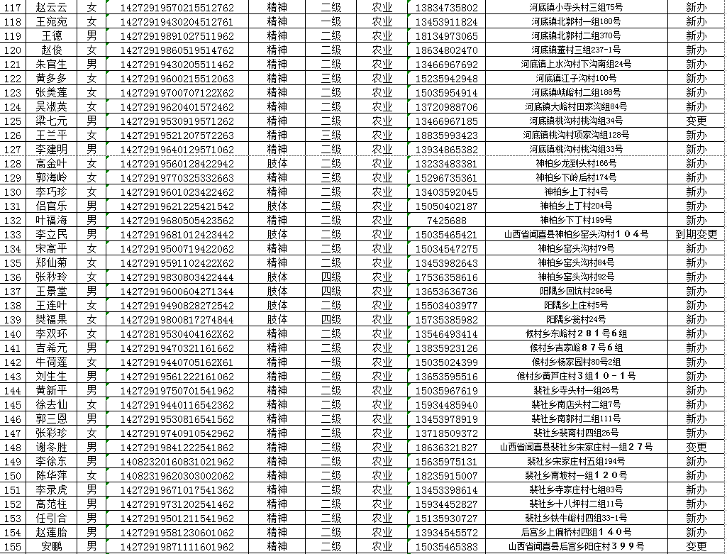
公示
作者:admin 发布时间:2020-11-12
上一篇:公示
下一篇:公示
晋公网安备 14082302000006号
晋ICP备11005393号-1
运城网络举报平台