今天是:
新闻中心
专题专栏
您所在的位置: 主页 > 新闻中心 > 公告通知
公告通知
公示

作者:admin 发布时间:2020-10-30

  公示

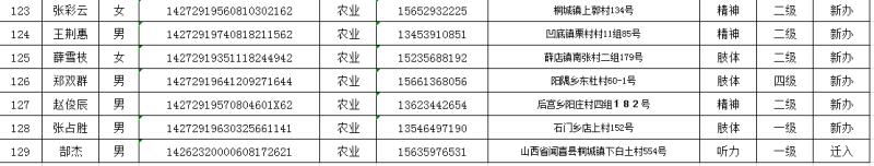
  为客观公正的做好残疾人证办理工作,现将2020年第九批、第十批经闻喜县残疾评定委员会专家评定的对符合申领残疾证条件的人员予以公示,接受社会监督,公示期为5天。

  特此公示

  附:

公示(图1)
公示(图2)
公示(图3)
公示(图4)
公示(图5)
公示(图6)

上一篇:公示 下一篇:公示

晋公网安备 14082302000006号

  

晋ICP备11005393号-1

  

运城网络举报平台